您好,歡迎光臨帝國科技!
帝國博客
更多>>6G發射器CCHD-957-25-24.576皮爾斯門振蕩器晶體負載計算
來源:http://www.southsidecondovip.com 作者:帝國科技 2023年06月21
6G發射器CCHD-957-25-24.576皮爾斯門振蕩器晶體負載計算
圖1中的Pierce-gate振蕩器已為大多數設計人員所熟知,但很少有人理解如何正確指定石英晶體。在拓撲結構中使用的晶體 圖1可以是基本的AT切割或BT切割。BT切割晶體具有較差的 與AT-CUT相比,頻率在整個溫度范圍內的穩定性。這種拓撲使用 平行晶體和非串聯晶體。當指定平行晶體時,晶體 制造商還會要求您指定負載電容。
為了理解負載電容,考慮一個串聯LC電路,其中 晶體是L,負載電容是c LC電路的頻率將作為L和c的函數而變化水晶案件,L是固定的(溫度不是一個參數)
晶振數據表上的參數由控制 負載電容是25°c時中心頻率的容差或校準值,如果振蕩器電路的設計與 負載電容值,則中心頻率將不在 數據表的公差極限。有趣的是,一個所謂的 并聯晶體要求其容性負載有效串聯 用它的終端。
那么,Pierce-gate振蕩器給帶來的負載是多少呢水晶?
圖2所示的簡單計算將告訴你。
Cload = {[Cin+C1][C2+Cout]/[Cin+C1+C2+Cout]} + pcb strays (2~3pF)
Example: Let Cin = Cout = 5pF; C1 = C2 = 20pF Therefore, Cload = {[25][25]/[25+25]} + 3 = 12.5 + 3 = 15.5pF
Select Cload = 16pF
6G發射器CCHD-957-25-24.576皮爾斯門振蕩器晶體負載計算
.JPG)
6G發射器CCHD-957-25-24.576皮爾斯門振蕩器晶體負載計算
圖2中大多數設計師忽略的最重要的事實是 反相器門的內部輸入和輸出電容。這些 與外部(C1和C2)相比具有顯著的價值。如果Cin 和Cout,則每個的猜測值為5 pF是好的 開始吧。稍后可以通過改變啟動來優化電路 C1和C2的價值觀。所以不要丟掉你的大寬容; 計算石英晶體振蕩器容性負載
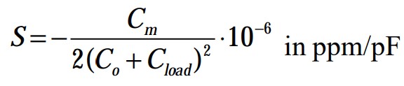
現在你知道如何計算負載電容 電路呈現給晶體,你應該選擇什么負載電容?在回答這個問題之前,你需要知道晶振中心頻率對負載的靈敏度 電容。這稱為微調靈敏度S,由下式給出:
.JPG)
其中Cm是晶體的運動電容, c0是晶體的并聯電容, Cload是負載電容。
從配平靈敏度方程中你可以看到,你使Cload越小,越大 微調靈敏度。換句話說,如果你正在設計一個固定頻率的時鐘,那么你 選擇高Cload值,如20 pF。然而,如果你正在設計一個可變頻率 振蕩器(VCXO),選擇低Cload值,如14 pF
C1和C2值也會影響振蕩器的增益。值越低,越高 收益。同樣,C2/C1比也影響增益。為了增加增益,使C1小于 C2。討論請求(Request for Discussion)。6G發射器CCHD-957-25-24.576皮爾斯門振蕩器晶體負載計算
為了理解負載電容,考慮一個串聯LC電路,其中 晶體是L,負載電容是c LC電路的頻率將作為L和c的函數而變化水晶案件,L是固定的(溫度不是一個參數)
晶振數據表上的參數由控制 負載電容是25°c時中心頻率的容差或校準值,如果振蕩器電路的設計與 負載電容值,則中心頻率將不在 數據表的公差極限。有趣的是,一個所謂的 并聯晶體要求其容性負載有效串聯 用它的終端。
那么,Pierce-gate振蕩器給帶來的負載是多少呢水晶?
圖2所示的簡單計算將告訴你。
Cload = {[Cin+C1][C2+Cout]/[Cin+C1+C2+Cout]} + pcb strays (2~3pF)
Example: Let Cin = Cout = 5pF; C1 = C2 = 20pF Therefore, Cload = {[25][25]/[25+25]} + 3 = 12.5 + 3 = 15.5pF
Select Cload = 16pF
6G發射器CCHD-957-25-24.576皮爾斯門振蕩器晶體負載計算
6G發射器CCHD-957-25-24.576皮爾斯門振蕩器晶體負載計算
圖2中大多數設計師忽略的最重要的事實是 反相器門的內部輸入和輸出電容。這些 與外部(C1和C2)相比具有顯著的價值。如果Cin 和Cout,則每個的猜測值為5 pF是好的 開始吧。稍后可以通過改變啟動來優化電路 C1和C2的價值觀。所以不要丟掉你的大寬容; 計算石英晶體振蕩器容性負載
現在你知道如何計算負載電容 電路呈現給晶體,你應該選擇什么負載電容?在回答這個問題之前,你需要知道晶振中心頻率對負載的靈敏度 電容。這稱為微調靈敏度S,由下式給出:
其中Cm是晶體的運動電容, c0是晶體的并聯電容, Cload是負載電容。
從配平靈敏度方程中你可以看到,你使Cload越小,越大 微調靈敏度。換句話說,如果你正在設計一個固定頻率的時鐘,那么你 選擇高Cload值,如20 pF。然而,如果你正在設計一個可變頻率 振蕩器(VCXO),選擇低Cload值,如14 pF
C1和C2值也會影響振蕩器的增益。值越低,越高 收益。同樣,C2/C1比也影響增益。為了增加增益,使C1小于 C2。討論請求(Request for Discussion)。6G發射器CCHD-957-25-24.576皮爾斯門振蕩器晶體負載計算
原廠代碼 | 品牌 | 型號 | 類型 | 頻率 | 頻率穩定度 |
CCLD-033-50-100.000 | Crystek晶振 | CCLD | XO (Standard) | 100MHz | ±50ppm |
CCPD-033-50-100.000 | Crystek晶振 | CCPD-033 | XO (Standard) | 100MHz | ±50ppm |
CCLD-033-50-125.000 | Crystek晶振 | CCLD | XO (Standard) | 125MHz | ±50ppm |
CCPD-033-50-156.250 | Crystek晶振 | CCPD-033 | XO (Standard) | 156.25MHz | ±50ppm |
CCLD-033-50-156.250 | Crystek晶振 | CCLD | XO (Standard) | 156.25MHz | ±50ppm |
CCPD-033-50-161.1328 | Crystek晶振 | CCPD-033 | XO (Standard) | 161.1328MHz | ±50ppm |
CCPD-034-50-200.000 | Crystek晶振 | CCPD-034 | XO (Standard) | 200MHz | ±50ppm |
CCHD-575-50-100.000 | Crystek晶振 | CCHD-575 | XO (Standard) | 100MHz | ±50ppm |
CCHD-575-50-80.000 | Crystek晶振 | CCHD-575 | XO (Standard) | 80MHz | ±50ppm |
CE3391-8.000 | Crystek晶振 | C33 | XO (Standard) | 8MHz | ±25ppm |
CCPD-033-50-77.760 | Crystek晶振 | CCPD-033 | XO (Standard) | 77.76MHz | ±50ppm |
CCPD-033-50-106.250 | Crystek晶振 | CCPD-033 | XO (Standard) | 106.25MHz | ±50ppm |
CCHD-575-25-24.576 | Crystek晶振 | CCHD-575 | XO (Standard) | 24.576MHz | - |
CCHD-950-50-45.1584 | Crystek晶振 | CCHD-950 | XO (Standard) | 45.1584MHz | ±50ppm |
CCHD-950-50-80.000 | Crystek晶振 | CCHD-950 | XO (Standard) | 80MHz | ±50ppm |
CCHD-957-25-22.5792 | Crystek晶振 | CCHD-957 | XO (Standard) | 22.5792MHz | ±25ppm |
CCHD-950-50-100.000 | Crystek晶振 | CCHD-950 | XO (Standard) | 100MHz | ±50ppm |
CCPD-575X-20-100.000 | Crystek晶振 | CCPD-575 | XO (Standard) | 100MHz | ±20ppm |
CPRO33-100.000 | Crystek晶振 | CPRO | XO (Standard) | 100MHz | ±25ppm |
CPRO33-10.000 | Crystek晶振 | CPRO | XO (Standard) | 10MHz | ±25ppm |
CPRO33-20.000 | Crystek晶振 | CPRO | XO (Standard) | 20MHz | ±25ppm |
C3391-4.096 | Crystek晶振 | C33 | XO (Standard) | 4.096MHz | ±25ppm |
CCHD-575-25-22.5792 | Crystek晶振 | CCHD-575 | XO (Standard) | 22.5792MHz | - |
CCHD-575-50-125.000 | Crystek晶振 | CCHD-575 | XO (Standard) | 125MHz | ±50ppm |
CCHD-950-50-49.152 | Crystek晶振 | CCHD-950 | XO (Standard) | 49.152MHz | ±50ppm |
CCPD-575X-20-80.000 | Crystek晶振 | CCPD-575 | XO (Standard) | 80MHz | ±20ppm |
CCHD-957-25-24.576 | 有源晶振 | CCHD-957 | XO (Standard) | 24.576MHz | ±25ppm |
CCHD-957-25-45.1584 | Crystek晶振 | CCHD-957 | XO (Standard) | 45.1584MHz | ±25ppm |
CCHD-957-25-49.152 | Crystek晶振 | CCHD-957 | XO (Standard) | 49.152MHz | ±25ppm |
CCPD-575X-20-125.000 | Crystek晶振 | CCPD-575 | XO (Standard) | 125MHz | ±20ppm |
CPRO33-50.000 | Crystek晶振 | CPRO | XO (Standard) | 50MHz | ±25ppm |
CPRO33-125.000 | Crystek晶振 | CPRO | XO (Standard) | 125MHz | ±25ppm |
CPRO33-156.250 | Crystek晶振 | CPRO | XO (Standard) | 156.25MHz | ±25ppm |
C3290-1.544 | Crystek晶振 | C3290 | XO (Standard) | 1.544MHz | ±100ppm |
C3290-1.843200 | Crystek晶振 | C3290 | XO (Standard) | 1.8432MHz | ±100ppm |
C3290-10.000 | Crystek晶振 | C3290 | XO (Standard) | 10MHz | ±100ppm |
C3290-12.000 | Crystek晶振 | C3290 | XO (Standard) | 12MHz | ±100ppm |
正在載入評論數據...
此文關鍵字: 晶體振蕩器
相關資訊
- [2024-03-18]Raltron產品和技術應用說明CO13050-32.000-T-TR
- [2024-03-13]Bliley恒溫晶振BOVTE-50MDA-DCCB的保質期有多長?
- [2024-03-05]Renesas推出RA8T1系列低功耗MCU
- [2024-03-04]Vishay推出VEMD2704具有提高了可見光靈敏度
- [2024-03-02]微小但強大的2.0面向下一代消費者的產品
- [2024-03-02]Ecliptek的快速旋轉可編程振蕩器
- [2023-09-28]領先全球的Crystek晶振公司關于石英晶體振蕩器選擇指南
- [2023-09-26]希華晶振是臺灣唯一具有從人工水晶生產到晶體元件封裝能力的企業遙遙領先于同行